C++四种类型转换运算符
上节讲到,隐式类型转换是安全的,显式类型转换是有风险的,C 语言之所以增加强制类型转换的语法,就是为了强调风险,让程序员意识到自己在做什么。
但是,这种强调风险的方式还是比较粗放,粒度比较大,它并没有表明存在什么风险,风险程度如何。再者,C 风格的强制类型转换统一使用
为了使潜在风险更加细化,使问题追溯更加方便,使书写格式更加规范,C++ 对类型转换进行了分类,并新增了四个关键字来予以支持,它们分别是:
这四个关键字的语法格式都是一样的,具体为:
需要注意的是,static_cast 不能用于无关类型之间的转换,因为这些转换都是有风险的,例如:
static_cast 也不能用来去掉表达式的 const 修饰和 volatile 修饰。换句话说,不能将 const/volatile 类型转换为非 const/volatile 类型。
static_cast 是“静态转换”的意思,也就是在编译期间转换,转换失败的话会抛出一个编译错误。
下面的代码演示了 static_cast 的正确用法和错误用法:
下面我们以 const 为例来说明 const_cast 的用法:
n = 100
*p = 234
有读者可能会问,为什么通过 n 和 *p 输出的值不一样呢?这是因为 C++ 对常量的处理更像是编译时期的
使用 const_cast 进行强制类型转换可以突破 C/C++ 的常数限制,修改常数的值,因此有一定的危险性;但是程序员如果这样做的话,基本上会意识到这个问题,因此也还有一定的安全性。
reinterpret_cast 可以认为是 static_cast 的一种补充,一些 static_cast 不能完成的转换,就可以用 reinterpret_cast 来完成,例如两个具体类型指针之间的转换、int 和指针之间的转换(有些编译器只允许 int 转指针,不允许反过来)。
下面的代码代码演示了 reinterpret_cast 的使用:
3.0262e+29
25
可以想象,用一个 float 指针来操作一个 char 数组是一件多么荒诞和危险的事情,这样的转换方式不到万不得已的时候不要使用。将
dynamic_cast 与 static_cast 是相对的,dynamic_cast 是“动态转换”的意思,static_cast 是“静态转换”的意思。dynamic_cast 会在程序运行期间借助 RTTI 进行类型转换,这就要求基类必须包含虚函数;static_cast 在编译期间完成类型转换,能够更加及时地发现错误。
dynamic_cast 的语法格式为:
对于指针,如果转换失败将返回 NULL;对于引用,如果转换失败将抛出
「向上转型时不执行运行期检测」虽然提高了效率,但也留下了安全隐患,请看下面的代码:
Downcasting failed: A* to B*
Downcasting failed: A* to C*
-------------------------
Downcasting successfully: A* to B*
Class D
Downcasting successfully: A* to C*
Class D
这段代码中类的继承顺序为:A --> B --> C --> D。pa 是
在《C++ RTTI机制下的对象内存模型(透彻)》一节中,我们讲到了有虚函数存在时对象的真实内存模型,并且也了解到,每个类都会在内存中保存一份类型信息,编译器会将存在继承关系的类的类型信息使用指针“连接”起来,从而形成一个继承链(Inheritance Chain),也就是如下图所示的样子:
当使用 dynamic_cast 对指针进行类型转换时,程序会先找到该指针指向的对象,再根据对象找到当前类(指针指向的对象所属的类)的类型信息,并从此节点开始沿着继承链向上遍历,如果找到了要转化的目标类型,那么说明这种转换是安全的,就能够转换成功,如果没有找到要转换的目标类型,那么说明这种转换存在较大的风险,就不能转换。
对于本例中的情况①,pa 指向 A 类对象,根据该对象找到的就是 A 的类型信息,当程序从这个节点开始向上遍历时,发现 A 的上方没有要转换的 B 类型或 C 类型(实际上 A 的上方没有任何类型了),所以就转换败了。对于情况②,pa 指向 D 类对象,根据该对象找到的就是 D 的类型信息,程序从这个节点向上遍历的过程中,发现了 C 类型和 B 类型,所以就转换成功了。
总起来说,dynamic_cast 会在程序运行过程中遍历继承链,如果途中遇到了要转换的目标类型,那么就能够转换成功,如果直到继承链的顶点(最顶层的基类)还没有遇到要转换的目标类型,那么就转换失败。对于同一个指针(例如 pa),它指向的对象不同,会导致遍历继承链的起点不一样,途中能够匹配到的类型也不一样,所以相同的类型转换产生了不同的结果。
从表面上看起来 dynamic_cast 确实能够向下转型,本例也很好地证明了这一点:B 和 C 都是 A 的派生类,我们成功地将 pa 从 A 类型指针转换成了 B 和 C 类型指针。但是从本质上讲,dynamic_cast 还是只允许向上转型,因为它只会向上遍历继承链。造成这种假象的根本原因在于,派生类对象可以用任何一个基类的指针指向它,这样做始终是安全的。本例中的情况②,pa 指向的对象是 D 类型的,pa、pb、pc 都是 D 的基类的指针,所以它们都可以指向 D 类型的对象,dynamic_cast 只是让不同的基类指针指向同一个派生类对象罢了。
但是,这种强调风险的方式还是比较粗放,粒度比较大,它并没有表明存在什么风险,风险程度如何。再者,C 风格的强制类型转换统一使用
( ),而( )在代码中随处可见,所以也不利于使用文本检索工具(例如 Windows 下的 Ctrl+F、Linux 下的 grep 命令、Mac 下的 Command+F)定位关键代码。为了使潜在风险更加细化,使问题追溯更加方便,使书写格式更加规范,C++ 对类型转换进行了分类,并新增了四个关键字来予以支持,它们分别是:
| 关键字 | 说明 |
|---|---|
| static_cast | 用于良性转换,一般不会导致意外发生,风险很低。 |
| const_cast | 用于 const 与非 const、volatile 与非 volatile 之间的转换。 |
| reinterpret_cast | 高度危险的转换,这种转换仅仅是对二进制位的重新解释,不会借助已有的转换规则对数据进行调整,但是可以实现最灵活的 C++ 类型转换。 |
| dynamic_cast | 借助 RTTI,用于类型安全的向下转型(Downcasting)。 |
这四个关键字的语法格式都是一样的,具体为:
xxx_cast<newType>(data)
newType 是要转换成的新类型,data 是被转换的数据。例如,老式的 C 风格的 double 转 int 的写法为:
double scores = 95.5;
int n = (int)scores;
C++ 新风格的写法为:
double scores = 95.5;
int n = static_cast<int>(scores);
static_cast 关键字
static_cast 只能用于良性转换,这样的转换风险较低,一般不会发生什么意外,例如:- 原有的自动类型转换,例如 short 转 int、int 转 double、const 转非 const、向上转型等;
-
void 指针和具体类型指针之间的转换,例如
void *转int *、char *转void *等; - 有转换构造函数或者类型转换函数的类与其它类型之间的转换,例如 double 转 Complex(调用转换构造函数)、Complex 转 double(调用类型转换函数)。
需要注意的是,static_cast 不能用于无关类型之间的转换,因为这些转换都是有风险的,例如:
-
两个具体类型指针之间的转换,例如
int *转double *、Student *转int *等。不同类型的数据存储格式不一样,长度也不一样,用 A 类型的指针指向 B 类型的数据后,会按照 A 类型的方式来处理数据:如果是读取操作,可能会得到一堆没有意义的值;如果是写入操作,可能会使 B 类型的数据遭到破坏,当再次以 B 类型的方式读取数据时会得到一堆没有意义的值。 - int 和指针之间的转换。将一个具体的地址赋值给指针变量是非常危险的,因为该地址上的内存可能没有分配,也可能没有读写权限,恰好是可用内存反而是小概率事件。
static_cast 也不能用来去掉表达式的 const 修饰和 volatile 修饰。换句话说,不能将 const/volatile 类型转换为非 const/volatile 类型。
static_cast 是“静态转换”的意思,也就是在编译期间转换,转换失败的话会抛出一个编译错误。
下面的代码演示了 static_cast 的正确用法和错误用法:
#include <iostream>
#include <cstdlib>
using namespace std;
class Complex{
public:
Complex(double real = 0.0, double imag = 0.0): m_real(real), m_imag(imag){ }
public:
operator double() const { return m_real; } //类型转换函数
private:
double m_real;
double m_imag;
};
int main(){
//下面是正确的用法
int m = 100;
Complex c(12.5, 23.8);
long n = static_cast<long>(m); //宽转换,没有信息丢失
char ch = static_cast<char>(m); //窄转换,可能会丢失信息
int *p1 = static_cast<int*>( malloc(10 * sizeof(int)) ); //将void指针转换为具体类型指针
void *p2 = static_cast<void*>(p1); //将具体类型指针,转换为void指针
double real= static_cast<double>(c); //调用类型转换函数
//下面的用法是错误的
float *p3 = static_cast<float*>(p1); //不能在两个具体类型的指针之间进行转换
p3 = static_cast<float*>(0X2DF9); //不能将整数转换为指针类型
return 0;
}
const_cast 关键字
const_cast 比较好理解,它用来去掉表达式的 const 修饰或 volatile 修饰。换句话说,const_cast 就是用来将 const/volatile 类型转换为非 const/volatile 类型。下面我们以 const 为例来说明 const_cast 的用法:
#include <iostream>
using namespace std;
int main(){
const int n = 100;
int *p = const_cast<int*>(&n);
*p = 234;
cout<<"n = "<<n<<endl;
cout<<"*p = "<<*p<<endl;
return 0;
}
运行结果:n = 100
*p = 234
&n用来获取 n 的地址,它的类型为const int *,必须使用 const_cast 转换为int *类型后才能赋值给 p。由于 p 指向了 n,并且 n 占用的是栈内存,有写入权限,所以可以通过 p 修改 n 的值。有读者可能会问,为什么通过 n 和 *p 输出的值不一样呢?这是因为 C++ 对常量的处理更像是编译时期的
#define,是一个值替换的过程,代码中所有使用 n 的地方在编译期间就被替换成了 100。换句话说,第 8 行代码被修改成了下面的形式:
cout<<"n = "<<100<<endl;
这样以来,即使程序在运行期间修改 n 的值,也不会影响 cout 语句了。更多关于 const 的内容请猛击《C++中的const又玩出了新花样》。使用 const_cast 进行强制类型转换可以突破 C/C++ 的常数限制,修改常数的值,因此有一定的危险性;但是程序员如果这样做的话,基本上会意识到这个问题,因此也还有一定的安全性。
reinterpret_cast 关键字
reinterpret 是“重新解释”的意思,顾名思义,reinterpret_cast 这种转换仅仅是对二进制位的重新解释,不会借助已有的转换规则对数据进行调整,非常简单粗暴,所以风险很高。reinterpret_cast 可以认为是 static_cast 的一种补充,一些 static_cast 不能完成的转换,就可以用 reinterpret_cast 来完成,例如两个具体类型指针之间的转换、int 和指针之间的转换(有些编译器只允许 int 转指针,不允许反过来)。
下面的代码代码演示了 reinterpret_cast 的使用:
#include <iostream>
using namespace std;
class A{
public:
A(int a = 0, int b = 0): m_a(a), m_b(b){}
private:
int m_a;
int m_b;
};
int main(){
//将 char* 转换为 float*
char str[]="http://c.biancheng.net";
float *p1 = reinterpret_cast<float*>(str);
cout<<*p1<<endl;
//将 int 转换为 int*
int *p = reinterpret_cast<int*>(100);
//将 A* 转换为 int*
p = reinterpret_cast<int*>(new A(25, 96));
cout<<*p<<endl;
return 0;
}
运行结果:3.0262e+29
25
可以想象,用一个 float 指针来操作一个 char 数组是一件多么荒诞和危险的事情,这样的转换方式不到万不得已的时候不要使用。将
A*转换为int*,使用指针直接访问 private 成员刺穿了一个类的封装性,更好的办法是让类提供 get/set 函数,间接地访问成员变量。
dynamic_cast 关键字
dynamic_cast 用于在类的继承层次之间进行类型转换,它既允许向上转型(Upcasting),也允许向下转型(Downcasting)。向上转型是无条件的,不会进行任何检测,所以都能成功;向下转型的前提必须是安全的,要借助 RTTI 进行检测,所有只有一部分能成功。dynamic_cast 与 static_cast 是相对的,dynamic_cast 是“动态转换”的意思,static_cast 是“静态转换”的意思。dynamic_cast 会在程序运行期间借助 RTTI 进行类型转换,这就要求基类必须包含虚函数;static_cast 在编译期间完成类型转换,能够更加及时地发现错误。
dynamic_cast 的语法格式为:
dynamic_cast <newType> (expression)
newType 和 expression 必须同时是指针类型或者引用类型。换句话说,dynamic_cast 只能转换指针类型和引用类型,其它类型(int、double、数组、类、结构体等)都不行。对于指针,如果转换失败将返回 NULL;对于引用,如果转换失败将抛出
std::bad_cast异常。1) 向上转型(Upcasting)
向上转型时,只要待转换的两个类型之间存在继承关系,并且基类包含了虚函数(这些信息在编译期间就能确定),就一定能转换成功。因为向上转型始终是安全的,所以 dynamic_cast 不会进行任何运行期间的检查,这个时候的 dynamic_cast 和 static_cast 就没有什么区别了。「向上转型时不执行运行期检测」虽然提高了效率,但也留下了安全隐患,请看下面的代码:
#include <iostream>
#include <iomanip>
using namespace std;
class Base{
public:
Base(int a = 0): m_a(a){ }
int get_a() const{ return m_a; }
virtual void func() const { }
protected:
int m_a;
};
class Derived: public Base{
public:
Derived(int a = 0, int b = 0): Base(a), m_b(b){ }
int get_b() const { return m_b; }
private:
int m_b;
};
int main(){
//情况①
Derived *pd1 = new Derived(35, 78);
Base *pb1 = dynamic_cast<Derived*>(pd1);
cout<<"pd1 = "<<pd1<<", pb1 = "<<pb1<<endl;
cout<<pb1->get_a()<<endl;
pb1->func();
//情况②
int n = 100;
Derived *pd2 = reinterpret_cast<Derived*>(&n);
Base *pb2 = dynamic_cast<Base*>(pd2);
cout<<"pd2 = "<<pd2<<", pb2 = "<<pb2<<endl;
cout<<pb2->get_a()<<endl; //输出一个垃圾值
pb2->func(); //内存错误
return 0;
}
情况①是正确的,没有任何问题。对于情况②,pd 指向的是整型变量 n,并没有指向一个 Derived 类的对象,在使用 dynamic_cast 进行类型转换时也没有检查这一点,而是将 pd 的值直接赋给了 pb(这里并不需要调整偏移量),最终导致 pb 也指向了 n。因为 pb 指向的不是一个对象,所以get_a()得不到 m_a 的值(实际上得到的是一个垃圾值),pb2->func()也得不到 func() 函数的正确地址。
pb2->func()得不到 func() 的正确地址的原因在于,pb2 指向的是一个假的“对象”,它没有虚函数表,也没有虚函数表指针,而 func() 是虚函数,必须到虚函数表中才能找到它的地址。2) 向下转型(Downcasting)
向下转型是有风险的,dynamic_cast 会借助 RTTI 信息进行检测,确定安全的才能转换成功,否则就转换失败。那么,哪些向下转型是安全地呢,哪些又是不安全的呢?下面我们通过一个例子来演示:#include <iostream>
using namespace std;
class A{
public:
virtual void func() const { cout<<"Class A"<<endl; }
private:
int m_a;
};
class B: public A{
public:
virtual void func() const { cout<<"Class B"<<endl; }
private:
int m_b;
};
class C: public B{
public:
virtual void func() const { cout<<"Class C"<<endl; }
private:
int m_c;
};
class D: public C{
public:
virtual void func() const { cout<<"Class D"<<endl; }
private:
int m_d;
};
int main(){
A *pa = new A();
B *pb;
C *pc;
//情况①
pb = dynamic_cast<B*>(pa); //向下转型失败
if(pb == NULL){
cout<<"Downcasting failed: A* to B*"<<endl;
}else{
cout<<"Downcasting successfully: A* to B*"<<endl;
pb -> func();
}
pc = dynamic_cast<C*>(pa); //向下转型失败
if(pc == NULL){
cout<<"Downcasting failed: A* to C*"<<endl;
}else{
cout<<"Downcasting successfully: A* to C*"<<endl;
pc -> func();
}
cout<<"-------------------------"<<endl;
//情况②
pa = new D(); //向上转型都是允许的
pb = dynamic_cast<B*>(pa); //向下转型成功
if(pb == NULL){
cout<<"Downcasting failed: A* to B*"<<endl;
}else{
cout<<"Downcasting successfully: A* to B*"<<endl;
pb -> func();
}
pc = dynamic_cast<C*>(pa); //向下转型成功
if(pc == NULL){
cout<<"Downcasting failed: A* to C*"<<endl;
}else{
cout<<"Downcasting successfully: A* to C*"<<endl;
pc -> func();
}
return 0;
}
运行结果:Downcasting failed: A* to B*
Downcasting failed: A* to C*
-------------------------
Downcasting successfully: A* to B*
Class D
Downcasting successfully: A* to C*
Class D
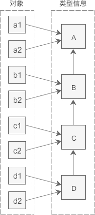
这段代码中类的继承顺序为:A --> B --> C --> D。pa 是
A*类型的指针,当 pa 指向 A 类型的对象时,向下转型失败,pa 不能转换为B*或C*类型。当 pa 指向 D 类型的对象时,向下转型成功,pa 可以转换为B*或C*类型。同样都是向下转型,为什么 pa 指向的对象不同,转换的结果就大相径庭呢?在《C++ RTTI机制下的对象内存模型(透彻)》一节中,我们讲到了有虚函数存在时对象的真实内存模型,并且也了解到,每个类都会在内存中保存一份类型信息,编译器会将存在继承关系的类的类型信息使用指针“连接”起来,从而形成一个继承链(Inheritance Chain),也就是如下图所示的样子:

当使用 dynamic_cast 对指针进行类型转换时,程序会先找到该指针指向的对象,再根据对象找到当前类(指针指向的对象所属的类)的类型信息,并从此节点开始沿着继承链向上遍历,如果找到了要转化的目标类型,那么说明这种转换是安全的,就能够转换成功,如果没有找到要转换的目标类型,那么说明这种转换存在较大的风险,就不能转换。
对于本例中的情况①,pa 指向 A 类对象,根据该对象找到的就是 A 的类型信息,当程序从这个节点开始向上遍历时,发现 A 的上方没有要转换的 B 类型或 C 类型(实际上 A 的上方没有任何类型了),所以就转换败了。对于情况②,pa 指向 D 类对象,根据该对象找到的就是 D 的类型信息,程序从这个节点向上遍历的过程中,发现了 C 类型和 B 类型,所以就转换成功了。
总起来说,dynamic_cast 会在程序运行过程中遍历继承链,如果途中遇到了要转换的目标类型,那么就能够转换成功,如果直到继承链的顶点(最顶层的基类)还没有遇到要转换的目标类型,那么就转换失败。对于同一个指针(例如 pa),它指向的对象不同,会导致遍历继承链的起点不一样,途中能够匹配到的类型也不一样,所以相同的类型转换产生了不同的结果。
从表面上看起来 dynamic_cast 确实能够向下转型,本例也很好地证明了这一点:B 和 C 都是 A 的派生类,我们成功地将 pa 从 A 类型指针转换成了 B 和 C 类型指针。但是从本质上讲,dynamic_cast 还是只允许向上转型,因为它只会向上遍历继承链。造成这种假象的根本原因在于,派生类对象可以用任何一个基类的指针指向它,这样做始终是安全的。本例中的情况②,pa 指向的对象是 D 类型的,pa、pb、pc 都是 D 的基类的指针,所以它们都可以指向 D 类型的对象,dynamic_cast 只是让不同的基类指针指向同一个派生类对象罢了。
← 上一节